Региональные филиалы компании Агромаш:
Насос центробежный ОНЦ
Насос центробежный ОНЦ , используются в пищевой промышленности. Насосы центробежные способны перекачивать, такие жидкости как: молоко, пиво, сливки, кефир, спирт, различную алкогольную продукцию включая водку и вино, соки, а также разные масла.
Модельный ряд выпускаемых пищевых насосов
| Насос пластинчатый |
Насос-гомогенизатор |
Насос винтовой |
Насос перистальтический |
 |
 |
 |
 |
| Насос самовсасывающий. |
Насос ламельный |
Насос шнековый |
Насос вихревой шнековый |
 |
 |
 |
 |
| Насос центробежный роторный |
Насос ламинарный динамический |
Насос типа БУРУН |
Насос поршневой |
 |
 |
 |
 |
Насос центробежный ОНЦ
В зависимости от типа перекачиваемой жидкости, насосы поставляются в различных исполнениях:
- Торцевые уплотнения могут быть двойными либо одинарными, также как и их материал. С двойными торцевыми уплотнением, насосы обязательно поставляется с бачком для затворной жидкости.
- Электродвигатель общепромышленный, либо взрывозащищенный для перекачивания легковоспламеняющихся сред.
- Различные климатические исполнения и степень защиты электродвигателя Для работы насоса вне помещения, надевается специальный нержавеющий кожух.
- С рубашками обогрева (паро и электроподогрев) и охлаждения.
|

|
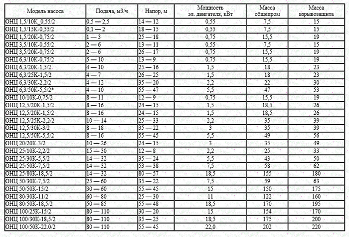
Технические характеристики центробежного насоса ОНЦ
Филиал Агромаш серийно производит и продает пищевые насосы в т.ч. химическистойкие и высокотемпературные для пищевой, фармацевтической, косметической, химической и др. отраслей промышленности. Все рабочие органы пищевых насосов выполнены из высококачественных импортных материалов, разрешенных к применению в этих отраслях Минздравом РФ.
Рекомендуем пищевое оборудование: